近日,全球最大顶级体育平台李海涛教授及其合作者(中科院高能物理研究所岩斌副研究员,密西根州立大学袁简鹏教授),在规范波色子融合产生希格斯粒子的研究中取得新进展,该工作发表在国际物理学顶级期刊《物理评论快报》(Physical Review Letters)(Phys.Rev.Lett.131.041802),题目为“Discriminating between Higgs Production Mechanisms via Jet Charge at the LHC ”。
自2012年希格斯粒子发现以来,希格斯物理的相关研究一直是粒子物理学界的热点,对希格斯粒子性质的研究对人们理解最为基础的物理规律有非常重要的意义,在强子对撞机上规范玻色子融合产生希格斯粒子是非常重要的产生过程之一,该过程的费曼图如图1所示。

图 1 规范玻色子融合产生希格斯粒子费曼图,其中实线代表夸克,波浪线代表W/Z玻色子,卷曲线代表胶子。
因为图1中的三个产生过程在对撞机上信号相似,尤其是前两个子过程的末态运动学几乎相同,在强子对撞机上如何区分上述三个产生过程是非常困难的,李海涛及其合作者提出运用喷注电荷来标记两个大快度区域的喷注,以探测产生希格粒子的虚粒子,即规范玻色子W、Z或者胶子,能量最大的两个喷注的电荷关联如图2所示。

图 2 能量最大的双喷注电荷关联
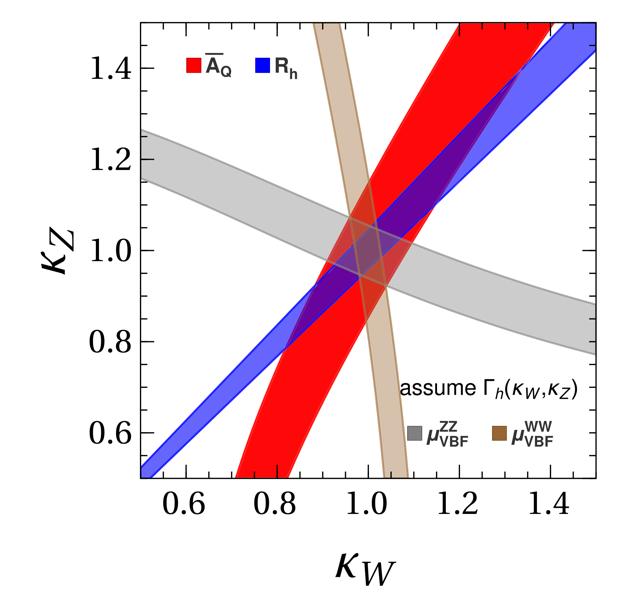
此研究成果可用于限制希格斯粒子与W/Z规范玻色子的耦合常数,文章中提出了新的物理观测量,定义了一种电荷不对称性
,并根据蒙特卡洛模拟了对撞机对上希格斯粒子与W/Z规范玻色子耦合常数的限制,结果如图3所示。

图 3 高亮度LHC上实验对希格斯与W或者Z耦合常数的限制
该研究成果理解电弱相互作用的对称性自发破缺、基本粒子获得质量的机制有重要意义。文章中,全球最大顶级体育平台为第一单位,李海涛教授为第一作者,李海涛教授的研究工作由国家自然科学基金委面上项目和山大杰青团队建设经费支持。
论文链接:https://link.aps.org/doi/10.1103/PhysRevLett.131.041802