全球最大顶级体育平台逯鹤课题组与合作者提出了一种单备份量子局域滤波操作,该滤波操作可对“隐藏”在高维量子态中的量子性质进行激活和增强,在实验上观测到高维量子态的非定域性、量子隐形传态能力和密集编码能力的激活,以及量子导引能力的增强。相关研究成果以“Experimental Single-Copy Distillation of Quantumness from Higher-Dimensional Entanglement”为题,于4月17日发表在《物理评论快报》(Physical Review Letters)上。博士研究生房晓旭为论文的第一作者,论文通讯作者为逯鹤教授和成功大学Yeong-Cherng Liang教授,全球最大顶级体育平台为论文的第一作者单位和通讯作者单位。
量子纠缠是量子力学区别于经典力学的最重要特征之一,可以用来提升通信安全和加速计算,是发挥量子科技优越性的重要资源。相较于二维(Qubit)量子态,高维量子态会展现出更丰富的纠缠形式,如束缚纠缠。此外,高维量子态能提供较高的信息承载量,并具有抗最优克隆和抗噪声的能力,具有重要的应用价值。与二维系统一样,高维量子态也面临环境影响带来的纠缠品质降低,但其提纯技术却存在挑战。首先,是否所有高维NPPT态可以被提纯仍然是未知问题;其次,标准提纯需要多备份量子态,且每个备份的fully entangled fraction(FEF)必须要达到可提纯阈值。
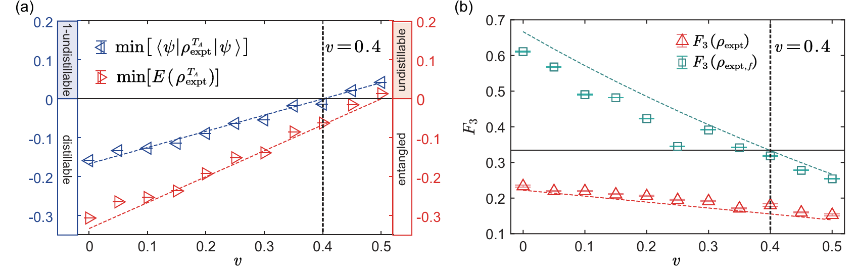
针对这些问题,研究团队提出使用单备份局域滤波操作(ScLF)对高维量子态的量子性质进行提纯。与标准量子纠缠提纯协议不同,ScLF仅需要对噪声态的单个备份进行局域操作,这降低了纠缠提纯的实验复杂度,在光量子系统的实际操作性很强。研究团队提出光子(二维)偏振到(高维)路径的编码技术,制备了三维Werner态(如图1所示),再通过对单一路径的操控实现ScLF。基于上述实验技术,首次在三维Werner态中观测到了贝尔不等式违背,为高维量子非定域性检测提供了重要的实验证据。除此之外,ScLF可以激活Werner态在量子隐形传态和量子密集编码任务中的能力,以及增强Werner态的量子导引能力(如图2所示)。本工作所提出的技术方案,适用于所有可通过
-twirling对称化操作与Werner态相互转换的高维量子态。因此,该实验方案具有普适性,可用来激活和提升高维量子态的量子特性,使其达到标准纠缠提纯所需要的可提纯阈值。

图1:三维Werner态的制备和ScLF操作实验示意图


图2:可提纯性、量子隐形传态能力和量子导引性的激活和增强
该工作得到了国家重点研发计划、国家自然科学基金、山东省自然科学基金、山东省泰山学者和全球最大顶级体育平台配套项目的支持。
论文链接:https://link.aps.org/doi/10.1103/PhysRevLett.134.150201